Glossar » Glossar: Gefährdungsbeurteilung

Beschreibung

Einleitung

Die Gefährdungsbeurteilung ist neben dem gesunden Menschenverstand das zentrale Instrument im Arbeitsschutz und gilt als der Schlüssel zur Verringerung von Arbeitsunfällen, Berufskrankheiten und arbeitsbedingten Erkrankungen. Darüber hinaus kann die Gefährdungsbeurteilung als Instrument der Führung & Verantwortung zur Verbesserung von Wirtschaftlichkeit, Wettbewerbsfähigkeit und das Unternehmensimage durch verantwortliches Handeln verstanden werden.

Letztlich wird in vielen Bereichen die Durchführung einer Gefährdungsbeurteilung keine 100% Sicherheit erreicht werden können, jedoch führt die Pflicht zur regelmäßigen Wirksamkeitsüberprüfung (KVP) in eine Prozesslandschaft, welcher diese Lücke im jeweiligen Kontext der Organisation (KdO) dann stetig und möglichst hoher Wirksamkeit für Effizienz & Resilienz zu schließen versucht.

Gliederung

ToDo

Definitionen

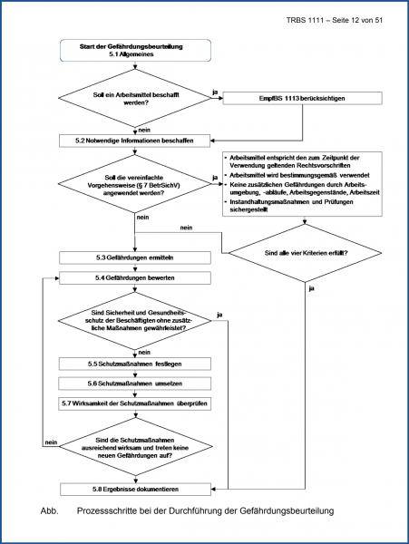
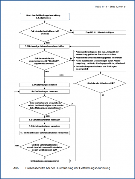
Eine Gefährdungsbeurteilung ist die systematische Ermittlung und Bewertung von Gefährdungen der Beschäftigten, die nach fachkundiger Einschätzung und vorliegender Erfahrung des Arbeitgebers bei der Verwendung von Arbeitsmittel auftreten und berücksichtigt werden müssen. Bei überwachungsbedürftigen Anlagen sind dabei auch andere Personen im Gefahrenbereich zu berücksichtigen. Die Gefährdungsbeurteilung ermittelt Gefährdungs- und Belastungsfaktoren und legt notwendige und geeignete Schutzziele und Maßnahmen für die Sicherheit und Gesundheitsschutz eines Arbeitssystem fest. Dabei sind auch Wechselwirkungen mit Personen des Umfelds, vorhersehbare Betriebsstörungen und Notfallsituationen zu berücksichtigen. Quelle: TRBS 1111 Abschnitt 2 (1)

Normative Systematik

Der Arbeitgeber hat die Beurteilung je nach Art der Tätigkeiten vorzunehmen. Bei gleichartigen Arbeitsbedingungen ist die Beurteilung eines Arbeitsplatzes oder einer Tätigkeit ausreichend. Quelle: ArbSchG § 5 (2)

  • Arbeitsschutzgesetz (ArbSchG) (§§ 5 und 6)
  • Arbeitsstättenverordnung (ArbStättV) (§ 3)
  • Betriebsverfassungsgesetz (BetrVG) (§§ 89 und 90)
  • Betriebssicherheitsverordnung (BetrSichV) (§ 3)
  • Gefahrstoffverordnung (GefStoffV) (§ [6])
  • Technische Regel der Betriebssicherheit TRBS (1111)
  • Technische Regeln für Gefahrstoffe (TRGS)

Auch die Übergabe oder Aufteilung der Verantwortung auf z.B. Fremddienstleister oder mehrerer Gewerke und deren Verantwortliche unterliegen gem. DGUV V 1 §5, §6 besonderen Bedingungungen, wenn eine effiziente Organisation bestehender Pflichten erreicht werden soll.

Durchführung von Gefährdungsbeurteilungen (allgemein)

Anlaß für eine Gefährdungsbeurteilung:

  • als Erstermittlung an bestehenden oder neuen Arbeitsplätzen und Standorten
  • vor Anschaffung neuer Anlagen, Einrichtungen und Arbeitsmittel
  • wenn ein bestehendes Arbeitssystem technisch oder organisatorisch wesentlich verändert wird
  • bei Änderung normativer Vorschriften zum Konformität & Stand der Technik
  • nach dem Auftreten von Arbeitsunfällen, Beinaheunfällen und arbeitsbedingten Erkrankungen

Voraussetzungen für eine systematisch nachhaltige Vollerfassung

Im Regelfall führt eine allzu einfache Prozedur wie: Gefährdung erkennen, Maßnahme festlegen und umsetzen relativ schnell zu einem nicht mehr akzeptablen Organisationsrisiko für den Verantwortlichen im Hinblick auf einhergehenden Überwachungs- und Kontrollpflichten. Mit zunehmender Schadenseintrittswahrscheinlichkeit (z.B. mehr Personal) oder Schadensausmaß (z.B. Arbeitsschwere) wird diese Praxis dann auch im Mindestanspruch normativer Ansprüche zunehmend unzulässiger. Die TRBS 1111 konkretisiert die gesetzlichen Vorgaben und liefert weitere Ansätze zur Umsetzung.

  1. Organisation in einem Managementsystem z.B. AMS-SGA oder UMS-SGU
  2. Festlegung von Betrachtungseinheiten, Führung & Verantwortung und Aufgabenverwaltung

Methoden der Gefährdungsermittlung

Zur Ermittlung von Gefährdungen an den Arbeitsplätzen im Betrieb können unterschiedliche Methoden eingesetzt werden. Eine grundsätzliche Unterscheidung wird getroffen mit Blick auf den Zeitpunkt bzw. den Anlass der Gefährdungsermittlung. Unterschieden werden die

  • Direkte (vorausschauende oder präventive) Methode,
    die Arbeitssysteme und -abläufe auf Gefährdungen hin untersucht, die bislang (noch) nicht zu Unfällen geführt haben. Handlungsleitend ist hier der Gesichtspunkt der Prävention.
  • Indirekte (rückblickende) Methode,
    die Erkenntnisse aus bereits aufgetretenen Ereignissen (Unfälle / Beinaheunfälle, Belastungsstörungen / Erkrankungen u.a.) in die Gefährdungsermittlung aufnimmt. Auch der aktuelle Bestand bereits installierter Sicherheitseinrichtungen und die im Umlauf befindliche Persönlicher Schutzausrüstung (PSA) gelten als wesentlich für die Betrachtung.

Beide Methoden können sich sehr gut ergänzen und führen zwangsläufig in eine für die Resilienz notwendige Vollständigkeit und Fokussierung. Bei hinreichender Abstimmung zueinander kann auch die Effizienz profitieren, wenn es den Verantwortlichen gelingt, im Ergebnis entstehende Gemeinsamkeiten beider Methoden transparent zu machen und wirkungsvoll zu kombinieren.

Ablauf einer Gefährdungsbeurteilung

Eine gute Vorlage einschließlich strukturierter Umsetzungsvorgaben wurden in der ArbSchG § 20a Gemeinsame Deutsche Arbeitsschutzstrategie (GDA) erarbeitet und so ein Ablauf zur Durchführung von Gefährdungsbeurteilungen skizziert. Die Vorgaben stellen im Mindestanspruch den aktuellen Konformität & Stand der Technik dar und stehen in Sachkunde24 als digitalisiertes Muster zur individuellen Bearbeitung zur Verfügung.

  1. Ermittlung aller Gefährdungen und Einteilung in Gefährdungsgruppen (Gefährdungsermittlung , -anpassung)
  2. Festlegung von Schutzzielen und Zuordnung der ermittelten Gefährdungen (Gefährdungsbewertung)
  3. Maßnahmenfestlegung, um Gefahr abzustellen oder auf ein vertretbares Maß zu reduzieren ggf. Restrisikoidentifikation (Gefährdungsbehandlung)
  4. Kontrollgang vor Tätigkeitsaufnahme (LMRA)
  5. Dynamische Betrachtung der Maßnahmen auf Wirksamkeit (Gefährdungskontrolle)

Durchführung von Gefährdungsbeurteilungen mit Sachkunde24

Da es sich bei der Gefährdungsbeurteilung um den vieleicht wesentlichsten Aspekt eines Arbeitsschutzmanagementsystems handelt, sind wir bestrebt den Automatisierungsgrad im Sinne logischer oder plausibler Verknüpfungen zum Kontext des individuellen bereits bestehenden Firmenprofils permanent zu verbessern.

Die im Rahmen der GDA unter Mitwirkung der DGUV entwickelte und empfohlende Standardvorgehensweise haben wir in Sachkunde24 mit hohem Digitalisierungsanspruch integriert und stellen das Ergebnis unserer Arbeit den Firmenprofilen über die Monitore

zur Verfügung. Natürlich gibt es immer etwas zu verbessern, aber unser System ist so vorausschauend - offen konzeptioniert, sodass die Optimierung und Vernetzung im Kontext der Firmenprofile verfeinert werden kann, wenn das Feedback der Nutzer dieses erwartet.

Aktuell arbeiten wir an einer generischen Variante (Vorlage), welche im Bezug auf die bereits bestehenden Informationen dann automatisch bei der Entwicklung der Gefährdungsbeurteilung unterstützt.

Bei der Integration im Firmenprofil unterstützt Sachkunde24, aber auch jetzt schon mit einer Vielzahl von zusätzlichen Funktionen, welche über den oben als Stand der Technik beschriebenen Anspruch hinausgehen.

Vorgabe gem. GDA und DGUV Sachkunde24.de
1. Festlegung Arbeitsbereichen und Tätigkeiten
2. Ermitteln der Gefährdungs- und Belastungsfaktoren
3. Beurteilen der Gefährdungen
4. Festlegen konkreter Arbeitsschutzmaßnahmen nach Stand der Technik (§ 4 ArbSchG ist zu beachten)
5. Durchführen der Maßnahmen
6. Überprüfen der Wirksamkeit der Maßnahmen
7. Fortschreiben der Gefährdungsbeurteilung (nach § 3 ArbSchG)
+ Sachkunde24.de bietet darüber hinaus folgende Funktionen:
8. standardisierte Durchführung von Gefährdungsbeurteilungen alleine oder im Team
9. freie firmeninterne Kategorisierung mittels Standort-, Arbeitsbereichs- und Tätigkeitsbeschränkung
10. Gefährdungsfaktoren gem. Bundesanstalt für Arbeitsschutz und Arbeitsmedizin (BAuA)
11. lernender Gefährdungs- und Maßnahmenkatalog
12. Risiko- und Maßnahmenbewertung (+ in mitrechnender Risikomatrix)
13. automatische Versionskontrolle und standardisierte druckbare PDFs
14. gezielte Erinnerung an geforderte Wirksamkeitsüberprüfungen per E-Mail und im System
15. Koordination der Verantwortlichkeit
16. Verknüpfung zur Betriebsanweisung als Hilfe im Aufbau von Unterweisungsinhalten
17. Verknüpfung zum Personalbereich als Hilfe zur Schulungsplanung und Zertifikatekontrolle 2024 ✔
18. Aufbau und Verknüpfung zum betrieblichen Gremium: Arbeitsschutzausschuss nach ASiG § 11 2024

Auszug Beispiel Screenshot vom 27.05.2020


Quellen:

Link zur DGUV (Deutsche Gesetzliche Unfallversicherung e.V.)

Literaturverweise

Name letzte Aktualisierung Titel
TRBS 1111 01.01.2019 Gefährdungsbeurteilungen
PSA-Verordnung (EU) 2016/425 2019 Verordnung (EU) 2016/425 - PSA - Persönliche Schutzausrüstung (Inverkehrbringen)
DIN EN ISO 10075-1 :2018-01 Ergonomische Grundlagen bezüglich psychischer Arbeitsbelastung - Teil 1: Allgemeine Aspekte und Konzepte und Begriffe
DIN EN ISO 10075-3 :2004-12 Ergonomische Grundlagen bezüglich psychischer Arbeitsbelastung - Teil 3: Grundsätze und Anforderungen an Verfahren zur Messung und Erfassung psychischer Arbeitsbelastung
DIN EN ISO 11610 :2023-10 Schutzkleidung - Begriffe
DIN EN ISO 12100 :2011-08 Sicherheit von Maschinen - Allgemeine Gestaltungsleitsätze - Risikobeurteilung und Risikominderung (ISO 12100:2010)
DIN EN 13921 :2007-08 Persönliche Schutzausrüstung - Ergonomische Grundsätze
DIN ISO 22320 :2019-07 Sicherheit und Resilienz - Gefahrenabwehr - Leitfaden für die Organisation der Gefahrenabwehr bei Schadensereignissen
DIN EN ISO 22361 :2023-02 Sicherheit und Resilienz - Krisenmanagement - Leitlinien für die Entwicklung einer Strategie
DIN ISO 31000 :2018-10 Risikomanagement - Leitlinien
DIN EN/IEC 31010 :2024-12 Risikomanagement - Verfahren zur Risikobeurteilung (IEC 31010:2019)
DIN ISO 45001 :2023-12 Managementsysteme für Sicherheit und Gesundheit bei der Arbeit - Anforderungen mit Anleitung zur Anwendung
DIN SPEC 79600 :2011-03 Sicherheitsrelevante Anforderungen an die Durchführung von Erlebnisaktivitäten
DGUV V 1 §2 :2013-11 Grundpflichten des Unternehmers
BetrSichV § 3 2015 Gefährdungsbeurteilung
ArbStättV § 3 2015 Gefährdungsbeurteilung
BetrSichV § 4 2015 Grundpflichten des Arbeitgebers
ArbSchG § 4 2022 Allgemeine Grundsätze
ArbSchG § 5 2022 Beurteilung der Arbeitsbedingungen
ArbSchG § 6 Dokumentation
DGUV V 1 §6 Zusammenarbeit mehrerer Unternehmer
ArbSchG § 8 2022 Zusammenarbeit mehrerer Arbeitgeber
ASiG § 11 2013 Arbeitsschutzausschuss
ArbSchG § 20a 2022 Gemeinsame deutsche Arbeitsschutzstrategie